必一·运动(B-Sports)官方网站2019级博士生赖燕红在杨军老师的指导下,利用全球海洋模式MITgcm,研究了在海洋深度为40公里的海洋行星上的海洋温跃层深度及其与各种行星参数和海洋参数的关系。相关成果以“Thermocline Depth on Water-rich Exoplanets”为题发表在2022年7月11日的杂志《The Astrophysical Journal》上。
海洋行星(water-rich exoplanets, or ocean planets)是一种表面完全被海洋覆盖,没有任何裸露陆地的类地行星。海洋行星的海洋深度可达几十甚至上百公里(图1),比地球海洋的平均深度(约3公里)要深得多。由于表面没有海陆分布,海洋行星上没有西边界流和离岸流等地球上常见的环流。因此对于海洋行星,海洋环流是深层海洋中的营养物质返回温跃层和海表面的重要方式。温跃层的深度可以影响浮力、海洋环流、上下层海洋间的能量和营养物质等的交换。


图1:海洋行星及其海洋深度示意图(参考Léger et al. 2004;图1)
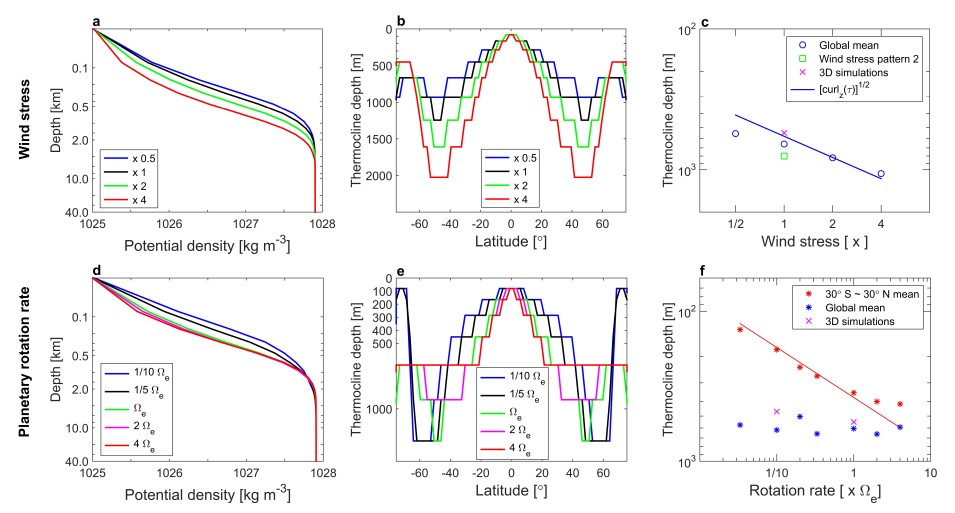
我们用全球海洋模式MITgcm研究了在海洋深度为40公里的海洋行星上,风应力主导和混合主导下的温跃层深度,并探讨了不同行星参数下(包括海洋深度、风应力、扩散系数、行星自转速率、黏性系数等)的温跃层深度及其关系(图2和图3)。在我们的结果中,海洋行星上的风生环流由Ekman抽吸产生的翻转流和类似地球上ACC(南极绕极流)的纬向流主导。结果表明,不同的海洋深度下(5 km, 10 km, 40 km)的温跃层深度基本一致,即温跃层深度不依赖于海洋本身的深度。不同行星参数下,风应力主导下的温跃层深度基本局限于上层海洋约2公里处。混合主导下的温跃层深度在合理参数下,最深可达10公里深度。

图2:风应力主导下,温跃层深度对风应力和行星自转速率的敏感性及其数值模拟结果与尺度分析的对比。
我们还对海洋行星的海洋温跃层深度与行星参数的关系进行了尺度分析(图2和图3)。结果表明,地球海洋上的尺度分析理论仍然适用于海洋行星。但是,由于海洋行星的表面没有海陆分布,纬向流和经向流不再处于同一个量级,这使得海洋行星上关于温跃层深度的尺度分析关系和地球上的有一些不同,主要是温跃层深度和行星自转速率的关系发生了明显的变化,而同风应力和扩散系数的关系仍然和地球上的理论一致。总体而言,我们的数值模拟结果和尺度分析的理论结果基本一致。

图3:混合主导下,温跃层深度对扩散系数和行星自转速率的敏感性及其数值模拟结果与尺度分析的对比。
原文链接:https://iopscience.iop.org/article/10.3847/1538-4357/ac7221