必一·运动(B-Sports)官方网站2019级博士研究生赖燕红在杨军老师和康婉莹老师的指导下,利用自主开发的二维理想化模式,探究了行星内部能量极弱或缺乏情况下的海洋环流和海洋深度,并通过尺度分析确定了其控制因子。模拟结果表明,海洋流速的量级约为1 m/s,与地球海洋类似;海洋内部的温度随深度增加而递减,导致熔岩海洋的深度仅有几百米,远浅于内部热量驱动的海洋深度;海洋环流驱动的水平热量输送强度比恒星辐射通量低 1–2 个量级,因此海洋环流对光变曲线峰值位置的影响很小。理论结果显示,海洋深度和水平流速由垂直扩散、垂直黏性、行星旋转速率、恒星辐射和风应力共同决定;熔岩海洋的深度始终很浅,与数值模拟结果一致;海洋环流形态最可能由旋转主导,与地球海洋类似。相关的两篇成果分别以“Ocean Circulation on Tide-locked Lava Worlds. I. An Idealized 2D Numerical Model”和“Ocean Circulation on Tide-locked Lava Worlds. II. Scalings”为题,于2024年9月24日发表于《The Planetary Science Journal, PSJ》。
必一·运动(B-Sports)官方网站
当类地行星与其主星的距离非常近时,星下点的温度可能超过典型硅酸盐的熔化温度,从而形成熔岩海洋。这类行星被称为熔岩行星(lava planets)。目前,已观测到超过100颗熔岩行星,如55 Cnc e、K2-141b、Kepler-10b和CoRoT-7b等,它们在星下点的温度可高达3000 K。由于熔岩行星与主星距离近,通常受到强烈的潮汐引力,导致其处于潮汐锁定状态,即自转周期与公转周期一致。

图1. a,b 内部能量驱动的对流主导时的温度廓线和海洋深度。c,d 恒星辐射驱动的海洋环流主导时的温度廓线和海洋深度。
潮汐锁定的熔岩行星55 Cnc e的光变曲线表明,其表面最热点并不位于恒星直射的星下点,而是向东偏移约40度(Demory et al. 2016),这可能是由于强烈的东向水平热量输送造成的。考虑到熔岩行星白昼侧的极高温度,许多研究认为其上的挥发性气体已经完全逃逸,大气主要来源于熔岩海洋的蒸发。蒸发形成的大气通常较薄,其水平热量输送能力有限,因此难以解释行星表面最热点位置的东移现象。海洋环流对表面温度和光变曲线的影响取决于海洋环流的强度和深度。之前的研究多假设熔岩海洋内部能量充足以维持充分的对流。在这种情况下,海洋内部的温度将随着深度的增加而逐渐升高,熔岩海洋可达几百公里深(图1a.b)。然而,考虑到大部分熔岩行星已经冷却了数十亿年,其内部能量可能已不足以维持对流。
潮汐锁定的熔岩行星表面的温度变化范围较大,从夜侧的几十K到星下点处的3000 K,跨越了硅酸盐的固相点和液相点。因此,模拟这种行星上的海洋环流和海洋深度面临三个主要挑战:1)熔岩海洋的边界会随温度变化而动态演化,意味着固态和液态之间的界限不再固定;2)硅酸盐的黏性是温度和熔化程度的函数,无法视作常数;3)硅酸盐黏性在熔化程度变化时会发生巨大变化,从固相点到液相点可从10¹⁸减小至10⁻⁴ m²/s,这对于一般的海洋环流模式而言,稳定解析将十分困难。
本研究开发了一个二维的理想海洋模式,以探讨在内部能量极弱或缺乏情况下的海洋环流及海洋深度。我们的模式考虑了从固相点(1700 K)到液相点(2000 K)的密度跃变,并考虑了硅酸盐黏性随温度与熔化程度的变化。值得注意的是,我们在固态区域(温度低于1700 K处)使用了较大的黏性,以使其速度接近零。我们的海洋模式并未与大气耦合,而是通过表面温度和风应力强迫来模拟大气的影响。参考熔岩行星Kepler-10b的参数,我们设置星下点的温度为3000 K,夜侧温度为50 K,风应力的极值达到了约100 N/m2。

图2. 平衡时刻的温度(a),位密度(b),水平速度(c),和海表高度(d)的分布。
模拟结果显示(图2),风应力在星下点的东侧(西侧)驱动出顺时针(逆时针)的翻转环流,伴随着星下点区域的上升流和海洋边界附近的下沉流。海洋流速最大可达约1 m/s。在海洋表面,东西边界处的硅酸盐温度最低且密度最高,从而在海洋边界产生对流下沉的运动。随后,海洋表面边界的高密度硅酸盐在水平压强梯度力的作用下充满整个海洋底部。因此,海洋内部的温度随着深度的增加而递减,导致海洋深度仅为几百米,显著浅于对流主导时的深度(图1)。由于海洋深度很浅,海洋环流产生的水平热量输送比其接收到的恒星辐射低1—2个量级(图3)。因此,海洋环流对熔岩行星表面温度及光变曲线的影响很小,无法解释观测到的最热点东移现象。

图3. 不同表面温度强迫下的海洋热量输送净通量(a), 不同风应力强迫下的海洋热量输送净通量(b),和不同潮汐锁定熔岩行星接收的恒星辐射(c)。
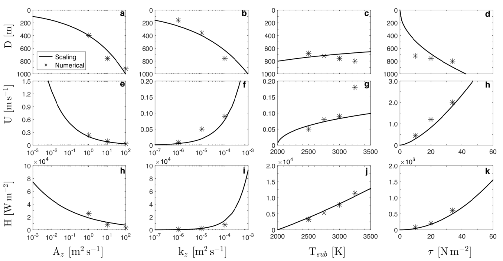
不同潮汐锁定熔岩行星的参数及其海洋特征可能存在显著差异。我们通过尺度分析得出了三种不同动力机制下海洋环流强度、熔岩海洋深度及热输送通量的控制因子:黏性主导的机制 I、平流主导的机制 II、旋转主导的机制 III。在这三种机制中,动量方程中的水平压强梯度力分别由垂直黏性、非线性平流及科氏力项平衡。理论结果显示,海洋深度、水平流速及海洋热输送通量由垂直扩散、垂直黏性、行星旋转速率、恒星辐射及风应力决定;熔岩海洋深度始终保持在几百米,与数值模拟结果一致;海洋环流的形态最可能由旋转主导,类似于地球海洋。其中,黏性主导下的理论结果得到了模拟结果的验证(图4)。

图4. 黏性主导的情况下,理论结果和模拟结果的对比。
【关于作者】
论文第一作者为赖燕红;论文“Ocean Circulation on Tide-locked Lava Worlds. I. An Idealized 2D Numerical Model”的通讯作者为杨军,合作作者为康婉莹;论文“Ocean Circulation on Tide-locked Lava Worlds. II. Scalings”的通讯作者为康婉莹,合作作者为杨军。
【原文链接】
https://doi.org/10.3847/PSJ/ad7111
https://doi.org/10.3847/PSJ/ad70b4